摘要:本文以重组蛋白SSRP1(Recombinant Structure Specific Recognition Protein 1,SSRP1)和丙酮酸钠(Sodium Pyruvate)之间亲和力检测为例[1],介绍表面等离子共振(Surface plasmon resonance,SPR)技术[2]用于蛋白质和化合物相互作用检测的通用过程。该实验方法可为基于SPR技术所进行的蛋白质-化合物相互作用检测,尤其是蛋白质与分子量较小的分析物之间相互作用检测,提供详实的实验方法参考。SRP技术在分子互作检测过程中,能够实时、动态地观测到分子结合和解离的过程,获得亲和力数据。该技术灵敏度很高,使得它可以检测到一些亲和力较弱、配体分子量较小的蛋白与小分子相互作用,对于研究一些生理过程中微弱但关键的分子间相互作用具有重要意义。
关键词: 重组蛋白SSRP1, 丙酮酸钠, 表面等离子共振
材料与试剂
- 1.5 mL离心管(Eppendorf,货号:0030120086)
- 5 L 试剂瓶(蜀牛,货号:GG-17)
- 96孔板(Cytiva,货号:BR100503)
- 96孔板专用封口膜(Cytiva,货号:28975816)
- 0.22 μm 水相滤膜(solarbio,货号:YA0662)
- S系列CM7芯片(Cytiva,货号:28953828)
- 氨基偶联试剂盒 (Cytiva,货号:BR100050, EDC 和NHS按使用说明提前溶解分装,保存于-20 ℃,各取一支融化后使用)
- 蛋白偶联缓冲液:10 mM醋酸钠,pH 4.0(Cytiva,货号:BR100349)
- 运行缓冲液:10× PBS缓冲液 (Cytiva,货号:BR100672,稀释10倍使用,pH值为 7.4);10×PBS-P+缓冲液(Cytiva,货号:28995084,稀释10倍使用,pH值为 7.4)
- SSRP1重组蛋白(原核细胞纯化)
- 丙酮酸钠(sigma,货号:P5280)
- 去离子水
仪器设备
- 超纯水制备系统(Thermofisher,型号:GenPure Pro UF)
- 过滤装置(其林贝尔,型号:GL-802A)
- 冷冻型离心机(Thermofisher,型号:Fresco 17)
- 分子互作检测设备(Cytiva,Biacore 表面等离子共振系统,型号:8K)
实验步骤
核小体重塑复合体FACT(Facilitates Chromatin Transcription)是一种保守的组蛋白伴侣,在细胞分裂和DNA损伤修复中发挥重要功能[3]。在DNA发生双链断裂损伤时,组蛋白H2AX会迅速发生磷酸化修饰形成γH2AX,并定位于DNA损伤位点,进而招募DNA损伤修复蛋白促进DNA损伤修复过程[4]。前期研究中我们发现DNA双链断裂时,SSRP1可与游离态的γH2AX结合,并将其整合在染色体上的损伤位点,补加糖酵解中间代谢物丙酮酸可进一步促进SSRP1与游离态γH2AX的相互作用。为了验证丙酮酸对SSRP1的调控机制,我们利用SPR技术探究丙酮酸小分子是否可以直接结合于SSRP1,并进一步调控SSRP1的功能。
SPR技术本质上是一种光学现象。当入射光以临界角度入射到两种不同折射率的介质界面时,会引起金属自由电子的共振,导致电子吸收光能量,使反射光在一定角度内大大减弱,这就是 SPR 角。SPR 角随表面折射率的变化而变化,和金属表面的生物分子质量成正比。因此,通过获取生物反应过程中 SPR 角的动态变化,就能得到生物分子之间相互作用的特异性信号。
在本次实验中,我们将SSRP1通过氨基偶联的方法固定到CM7芯片表面,预偶联时通过静电吸附的方法确定可以达到的偶联量和合适偶联条件,之后将丙酮酸盐溶液作为分析物,按摩尔浓度二倍比稀释后进样检测,并对所得测试结果进行拟合得到丙酮酸盐与SSRP1的亲和力数据,实验过程中,样品仓和系统温度恒定25 ℃。
一、实验前准备
- 确定蛋白偶联量、偶联方法和芯片类型:此次实验检测的配体分子量为 81.075 KD,分析物分子量只有110.04 Da,根据公式Rmax = 分析物分子量/ 配体分子量 ×固定量 ×化学计量比,Rmax指响应达到饱和状态下的表面结合能力,理论计算出 Rmax 值通常比实际相互作用分析中获取的实验值高,因此我们按照Rmax为100进行计算,化学计量比 = 1,计算出此次实验所需偶联量非常高,为73,610 Ru,只能选择适合于小分子分析、羧基化水平更高的CM7传感芯片作为实验芯片。
- PBS 缓冲液通过0.22 μm水相滤膜抽滤,超声脱气30 min,作为蛋白偶联阶段running buffer 。
- 仪器准备:确认Biacore 8K仪器状态为standby,将buffer和reagent进液管从水中取出,插入running buffer(图1A)。
- 更换芯片:点击BiacoreTM8K Control Software控制软件 instrument control界面中“change chip”(图1B)将当前仪器 “maintenance chip”更换为本次实验芯片“CM 7”(图1C):。
- 点击“change solutions”(图1D)连续两次,running buffer高速冲洗流路系统,去除之前实验残留。
图1 实验准备。 A. 进液管位置;B. change chip界面;C. 更换CM 7芯片;D. change solution。
二、芯片表面预处理-蛋白偶联条件的确定
本次实验的理论偶联量非常高,只能选择共价偶联的方法。通过CM 7芯片,氨基偶联方法,根据蛋白质的等电点选择合适pH条件的醋酸钠溶液预偶联。SSRP1重组蛋白的理论等电点PI = 6.44,为了达到更高的偶联量,选择pH值分别为4.0、4.5的醋酸钠溶液稀释SSRP1蛋白至100ug/ml,chanel 7和8两个通道作为预实验通道,希望在芯片表面带有正电荷的条件下,通过静电吸附方法做蛋白预富集能力测试,并根据测试结果选择合适的pH条件进行偶联。
具体测试方法如下:在控制软件methods一栏选择pH scouting新建预偶联实验方法,选择通道7和8作为此次实验通道,flow cell1 作为reference cell不勾选,只勾选flow cell2流过溶液(如图2A)。设置analyte-regeneration的实验程序,以10 μL/min的流速观察SSRP1分别在pH 4.0和pH 4.5的条件下,180 s内流过芯片表面的响应值。SSRP1进样结束后,用50 mM的NaOH溶液作为再生试剂,30 μL/min流速进样30 s,对芯片表面再生处理(图2B)。测试结果如下:SSRP1在pH4.0和pH4.5的条件下,预偶联量分别达到了22995.9 Ru和3601.2Ru(图2C)。SSRP1蛋白等电点较低, pH4.0的醋酸钠条件才能使芯片表面富集正电荷。因此,选择pH4.0,浓度100 μg/mL,作为此次SSRP1配体偶联条件,希望蛋白偶联量尽可能高。
图2 芯片表面预处理。 A,B. 预偶联测试方法设置;C. 预偶联测试传感图。
三、SSRP1偶联
控制软件methods一栏选择immobilization的程序,新建SSRP1的偶联固化方法:在芯片一栏的下拉菜单中选择芯片类型“CM 7”,method definition中添加程序:Amine custom(氨基偶联)。该偶联程序包括以下几个步骤:芯片表面活化处理、蛋白样品进样、芯片表面封闭,具体参数设置如下:
所有测试参数设置好之后,按照程序所设样品名称和体积,在96孔板加样后并放样品架(图3D)。点击软件界面右下方“open door”,样品架放回样品仓,开始实验。SSRP1蛋白的最终偶联量为23,425.1 RU,基本达到了预偶联量(图4)。偶联结束后,仪器进入standby状态,稳定2 h后再做分析物测试。
- 选择CM 7芯片空白通道channel 5 Flow cell 2固定SSRP1蛋白。根据预偶联测试条件,蛋白偶联浓度选择100 μg/mL。
- 芯片表面活化处理:edc和nhs等体积混匀进样,流速10 μL/min,进样时间600 s(图3A);
- ligand进样:SSRP1蛋白偶联:流速10 μL/min,进样时间1,200 s(图3B);
- 乙醇胺溶液进样:对芯片表面封闭处理,稳定蛋白SSRP1偶联效果的同时,将芯片表面其他空白结合位点封闭。流速同样是10 μL/min,进样时间为420 s(图3C)。
图3 SSRP1偶联。 A. 芯片表面活化;B. 配体偶联;C. 芯片表面封闭;D. 所需样品量。
图4 SSRP1偶联传感图四、分析物丙酮酸钠结合检测 - 点击control软件change solution模块,running buffer高速冲洗系统3次。
- Method中新建 analysis方法,running buffer代替分析物进样,观察基线波动情况。基线稳定后,准备分析物丙酮酸盐的检测,预实验丙酮酸盐浓度选择1 mmol/L。
- 控制软件methods菜单中,选择LMW的文件夹,并从中选择LMW kinetics/affinity,在method definition中新建测试方法:1)新建analysis步骤:analyte1-regeneration1,并按照method中参数具体要求,依次进行以下设置:结合时间(contact time)180 s, 解离时间(dissociation time)300 s,溶液流速(flow rate)设置为30 μL/min;选择high performance模式,Flow path为both flow cells(flow cell 1作为参比通道流过分析物),cycle数设为1。2)96孔板样品位置的设置:选择channel 5 plate 1,analysis 1和buffer分别加入到F9和F10 对应位置,分别用于analyte,和regeneration,其余位置用缓冲液补齐。3)所有溶液加好后,96孔板卡入样品架放入样品仓,关闭仓门,设置本次实验名和保存路径,开始测试。结果如图5A所示,:响应值较低且结合曲线不平滑,有非特异性信号存在。将PBS 缓冲液改为PBS-P 后,丙酮酸钠浓度提高到2 mmol/L再次检测,如图5B所示,以上问题均得到改善。后续的亲和力测定在PBS-P 缓冲液中完成。

图5 丙酮酸钠结合检测结果。 A. 1 mmol/L 丙酮酸钠(PBS);B. 2 mmol/L 丙酮酸钠(PBS-P)。
- SSRP1和丙酮酸钠盐亲和力测定
通过LMW kinetics/affinity的方法中设置 “多循环动力学模式”对不同浓度丙酮酸钠溶液的结合-解离过程进行实时检测和数据分析,得到SSRP1与丙酮酸钠分子的亲和力常数。- 在Method—LMW kinetics/affinity模式下选择LMW multi-Cycle kinetics/affinity,新增Startup和Analysis两部分测试内容,分别用于系统基线稳定和样品测试,依次设置参数如下:Startup solution为running buffer(图6A),Analysis solution则为不同浓度丙酮酸钠溶液(Concentration勾选Variable)。Contact time 240 s,Dissociation time 240 s,Flow rate 30 μL/min(图6B)。Regeneration solution 为 running buffer,Flow rate 30 μL/min,30 s(图6C)。在Variables和positioning中设置Startup共有7个cycle,Analysis共有19个cycle,包含3个cycle的baseline测试(0浓度)和8个不同浓度的丙酮酸钠溶液,依次为8 mMol、4 mMol、2 mMol、1 mMol、500 μMol、250 μMo1、125 μMol、62.5 μMol,按照丙酮酸钠浓度从低到高的顺序依次进行检测,同时每个浓度各重复一次。溶液名称和样品对应浓度依次填入到Analyte1 Solution Id中,用于后续数据分析的识别。系统自动生成样品在96孔板中的位置,如不合适可进行调整。Cycle overview中对设置的参数检查,Plate layout中确认样品在96孔板中的具体位置,并将该方法保存到合适的路径中,每个样品放置位置及所需体积如图6D所示。
- 根据上述方法稀释配置丙酮酸钠溶液,并加入到96孔板中。加入的液体体积比方法中所要求的最低量要富余20 μL。上样前用96孔板配套的专业封口膜密封样品,上机检测,最终得到SSRP1与丙酮酸钠分子的亲和力数据。
图6 丙酮酸钠亲和力测定。 A. Start up参数设置;B. analysis 参数设置;C. regeneration 参数设置;D. 各样品放置位置及体积。
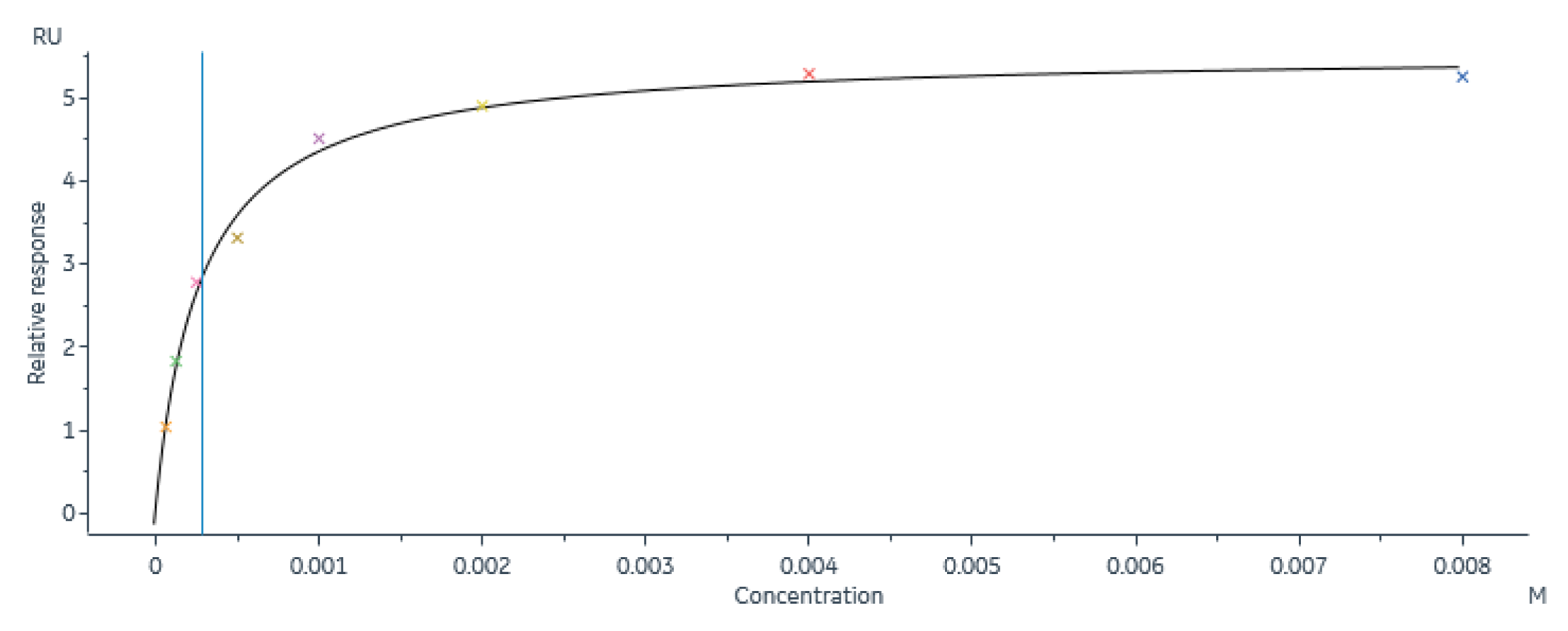
五、数据分析仪器配套分析软件 BiacoreTM Insight Evaluation Software中,依次选择Predefined-Kinetics/affinity-LMW,选择 LMW multi-cycle affinity-Evaluation method对所测数据进行分析,以丙酮酸钠浓度为横坐标,每个浓度对应的响应值为纵坐标,通过稳态分析方法拟合,得到拟合曲线(图7),亲和力常数KD为280 μM。
图7 亲和力测定结果 实验要点及总结
- 本案例检测的挑战。本案例最大的难点在于分析物丙酮酸钠分子量特别低,而配体蛋白分子量相对较大,理论偶联量所需极高。尽管实际偶联量已尽可能高,但也只是理论值的一半;对于分子量只有100Da左右分析物的亲和力检测有巨大的挑战性。运用SPR技术进行亲和力检测时,一般会设置除零浓度以外至少一个浓度的重复测试。本案例中,SSRP1和丙酮酸钠本身的亲和力较弱,同时丙酮酸钠分子量特别小,结合响应值较低。为了得到更准确的亲和力数据,我们将丙酮酸钠溶液每个浓度都做了重复测试,可以有效鉴别真实的亲和力信号,避免假阳性或响应值过低造成结合信号丢失。
- 样品状态对测试结果的影响。无论是使用等温滴定微量热技术(ITC)还是SPR技术进行体外相互作用检测,对样品状态均有较高的需求,特别是蛋白质样品的活性至关重要。在无法确定蛋白活性的前提下,建议选择新鲜纯化后蛋白质样品进行测试,不建议对样品反复冻融。本案例中所用到的样品和running buffer都做到了“现用现配”,保持新鲜。在分析物分子量特别小,结合响应值本身就比较低的情况下,更要注意样品状态。
- 配体偶联方法的选择。本案例中分析物和配体分子量相差特别大,根据公式计算的理论偶联量很高,通过捕获法偶联难以实现。因此选择具有高载量偶联基质的CM 7芯片最为合适,CM 7芯片比普通氨基偶联芯片的载量高三倍,特别适合于低分子量分析物的检测。本案例中的分析物丙酮酸钠分子量只有110.04 Da,和大分子配体相比,分析物分子量极低,需要尽可能偶联高载量的蛋白配体。因此使用氨基偶联的方法,选择CM 7芯片是最合适的实验方案。最终实际偶联量达到了23425.1Ru,虽然和理论偶联量有一定的差距,但基本满足了后续亲和力测试的需求。
- 配体偶联条件和分析物丙酮酸钠浓度范围的选择。蛋白偶联量对于亲和力常数的测定至关重要,偶联量过低会导致配体结合信号低,偶联量过高会使配体解离变慢。不合适的偶联量对亲和力测定会造成干扰。实验准备阶段,根据公式计算出所需理论偶联量,并以此为判断预偶联测试条件是否合适的标准。本案例中,SSRP1蛋白和分析物丙酮酸钠分子量差异极大,因此需要芯片表面富集尽可能多的蛋白用于后续检测。在预偶联阶段,我们根据蛋白样品总量、蛋白等电点等信息,选择100 μg/mL 的质量浓度在不同pH条件下(pH 4.0、pH 4.5)进行预偶联,pH 4.0条件下的预偶联量能够满足实验需求。而分析物丙酮酸钠的分子量只有110.04 Da,低浓度条件下响应值较低,同时考虑到丙酮酸钠在人体内(血浆以及胞内)本身丰度就很高,做单点浓度测试时,我们选择了1 mMol丙酮酸钠溶液进行检测,response值较低(图5A);并且从丙酮酸钠和SSRP1蛋白的结合形态(图5B)来看,二者属于典型的“快速结合-快速解离”的模式,需要通过稳态模式对亲和力测定进行拟合。这种拟合方式需要分析物所有浓度的结合曲线都达到稳态,因此我们选择8 mMol丙酮酸盐作为最高浓度,向下2倍比稀释8个浓度点,涵盖稳态拟合分析所需浓度范围。
- 样品上样体积的确定。实验方法编辑好后,系统会提示每个步骤中所需样品体积。加入样品的体积最好按照大于系统所要求的最低量加入到上样孔板中。这样操作的优势有两点:1、避免进样针吸取样品的过程中接触到小气泡而对传感图造成气泡峰的干扰;2、避免在长时间测试过程中,由于液体蒸发导致的浓度改变对测试结果产生影响,确保所测数据的准确性。也可以在加好样品后通过对样品板贴膜的操作,达到减少液体蒸发的目的;贴膜时注意膜要贴平整、孔的位置对应准确。
- 缓冲体系的选择。缓冲体系的选择一般考虑以下三方面因素:1、样品对缓冲体系的需求,常见的缓冲液包括PBS缓冲液、Tris缓冲液等。有时会根据实验体系需求对缓冲液中的某个成分的比例或者浓度进行适当调整,有时为了降低非特异性信号,会在缓冲液中加入一定量的去垢剂。2、仪器和实验类型的要求,SPR实验中要避免高折光率物质,同时微流路系统对缓冲液粘度和均一性也有要求,当通过氨基进行共价偶联时,要避免使用Tris缓冲液,避免游离氨基的干扰。3、尽量选择大分子样品缓冲液作为缓冲体系(running buffer)。本案例中,蛋白通过透析法已置换到PBS缓冲液中,因此我们选择PBS缓冲液作为running buffer,并在此缓冲液中完成了SSRP1配体的偶联;但用1 mM丙酮酸钠溶液做亲和力检测的预实验时,可以看到非特异性结合的信号存在。改用PBS-P 缓冲液作为running buffer后,降低了小分子本身的强吸附性和基线漂移带来的影响,分析物真实响应信号也有所提升。
- 配体偶联后的平衡时间。芯片表面偶联配体后一般需要稳定一段时间以降低基线漂移对实验结果的影响。特别是分析物分子量极小时对基线稳定性要求更高。引起基线漂移的原因一般有两点:1、大分子配体空间结构复杂,共价偶联后有时会引起构象变化,造成一些配体分子的不稳定;2、高偶联量的实验要用到高浓度的蛋白溶液(本案例中用到的蛋白偶联浓度为100ug/ml)流过芯片表面,少量偶联不够牢固的配体分子会被后续流过的running buffer冲洗下来造成基线下降。特别是小分子的分析物,由于其分子量较小,响应值较低,严重的基线漂移会干扰后续结合实验的测定。本案例中,SSRP1的偶联量较高,且在running buffer冲洗的过程中,基线有很明显持续下降,因此需要较长时间的平衡和稳定。用running buffer代替分析物流过微流控系统不断平衡,直到基线下降速率小于3 Ru/min,符合基线稳定的标准。多循环动力学实验Start up步骤,用running buffer代替分析物进样,目的也是为了稳定芯片表面。当配体偶联量较高时,建议将start up的循环数设置为4-6,本案例由于分析物分子量特别小,需要更稳定的测试系统,因此将start up cycle数设置为7。
- Regeneration步骤的设置。为了保证高浓度丙酮酸钠溶液解离更彻底,不会对后续cycle产生干扰,我们在regeneration步骤中用 running buffer 代替再生试剂流过CM 7芯片表面,尽可能使丙酮酸钠分子解离,在不影响已偶联蛋白活性的情况下,确保每个实验数据的独立性和准确性。
致谢
感谢杨巍维老师提供的帮助和建议。这项工作得到了中国国家自然科学基金(32300647)的支持。
参考文献
- Wu, S., Cao, R., Tao, B., Wu, P., Peng, C., Gao, H., Liang, J. and Yang, W. (2022). Pyruvate Facilitates FACT‐Mediated γH2AX Loading to Chromatin and Promotes the Radiation Resistance of Glioblastoma. Adv Sci. 9(8): e202104055. https://doi.org/10.1002/advs.202104055
- Green, R. J., Frazier, R. A., Shakesheff, K. M., Davies, M. C., Roberts, C. J. and Tendler, S. J. (2000). Surface plasmon resonance analysis of dynamic biological interactions with biomaterials. Biomaterials. 21(18): 1823–1835. https://doi.org/10.1016/s0142-9612(00)00077-6
- Keller, D. M., Zeng, X., Wang, Y., Zhang, Q. H., Kapoor, M., Shu, H., Goodman, R., Lozano, G., Zhao, Y., Lu, H., et al. (2001). A DNA Damage–Induced p53 Serine 392 Kinase Complex Contains CK2, hSpt16, and SSRP1. Mol Cell. 7(2): 283–292. https://doi.org/10.1016/s1097-2765(01)00176-9
- Rogakou, E. P., Pilch, D. R., Orr, A. H., Ivanova, V. S. and Bonner, W. M. (1998). DNA Double-stranded Breaks Induce Histone H2AX Phosphorylation on Serine 139. J Biol Chem. 273(10): 5858–5868. https://doi.org/10.1074/jbc.273.10.5858
Please login or register for free to view full text
View full text
Download PDF
Q&A
Copyright: © 2025 The Authors; exclusive licensee Bio-protocol LLC.
引用格式:吴萌, 吴思杨, 兰姝珏, 杨巍维, 陈铭. (2025). 基于SPR技术的重组蛋白SSRP1和丙酮酸钠之间的亲和力检测. // Surface Plasmon Resonance (SPR) Protocol eBook.
Bio-101: e1011030. DOI:
10.21769/BioProtoc.1011030.
How to cite: Wu, M., Wu, S. Y., Lan, S. J., Yang, W. W. and Chen, M. (2025). Detection of the Affinity between Human Recombinant Protein SSRP1 and Sodium Pyruvate Based on SPR Technology. // Surface Plasmon Resonance (SPR) Protocol eBook.
Bio-101: e1011030. DOI:
10.21769/BioProtoc.1011030.