摘要: 化疗药物敏感性的评估涵盖药物疗效以及药物吸收、代谢速率等药物动力学信息,可通过细胞受到药物刺激后的动态变化反映,这就需要长时间检测细胞的动态变化,而如何长时间连续定量检测细胞受药物刺激后的动态变化过程,是生物医学面临的挑战。SPR(Surface Plasma Resonance)成像是一种用于实时监测和分析生物分子相互作用的免标记光学检测技术,也是研究和测定分子相互作用的金标准。SPRcellyzer仪器平台将SPR成像方法的高灵敏度、实时原位检测、无需标记等独特优势应用于细胞药物敏感性分析,首次实现了数天实验周期的细胞长时间培养、原位检测与药物敏感性分析,能检测细胞受到不同种类和不同浓度的药物刺激后的响应。本实验方法详述了如何利用SPRcellyzer仪器平台长时程、实时地监测药物刺激对细胞生长等特征的影响。该技术可为抗肿瘤药物筛选与研发、细胞-药物结合动力学研究等应用提供有力工具,可广泛应用于细胞生物学、分子生物学、肿瘤学、生物化学、毒理学等多种学科领域。
关键词: 表面等离子体共振, 细胞检测, 药物敏感性, 原位实时, 无标记
材料与试剂
- 水系针式无菌过滤器(生产商:比克曼生物,产品规格:0.22 μm,直径25 mm)
- 无菌血清移液管(生产商:比克曼生物,规格:10 mL)
- 11-巯基十一烷酸(简称11-MUA,生产商:欣恒研,CAS号:71310-21-9,产品编号:71310/21/9#B073089,储存条件:-20 ℃)
- N-羟基丁二酰亚胺(简称NHS,生产商:Acmec,CAS号:6066-82-6,产品编号:H77940-100 g)
- 11-巯基-1-十一醇(简称11-MUD,生产商:麦克林,CAS号:73768-94-2,产品编号:M823183-5g,储存条件:2~8 ℃)
- 磷酸盐缓冲液(简称PBS, PH=7.2~7.4,生产商:麦克林,产品编号:P917710-500ml)
- 1-(3-二甲氨基丙基)-3-乙基碳二亚胺盐酸盐 (简称EDC,生产商:安耐吉 CAS号:25952-53-8, 产品编号:A010938)
- 多聚左旋赖氨酸(简称PLL,分子量:150~300kDa,生产商:源叶,CAS号:25988-63-0,产品编号:S20056-100 mg)
- 改良Eagle细胞培养液(简称DMEM,生产商:普诺赛,产品编号:PM150226)
- 胎牛血清(简称FBS,生产商:麦克林,CAS号:9999-99-9,货号:M6546-25 mL)
- 庆大霉素(生产商:欣恒研,CAS号:1403-66-3,产品编号:1403/66/3#P000391)
- 胰蛋白酶(生产商:Acmec,CAS号:9002-07-7,产品编号:954773)
- 顺铂(生产商:欣恒研,CAS号:15663-27-1,产品编号:15663/27/1#B024989)
- 紫杉醇(生产商:欣恒研,CAS号:33069-62-4,产品编号:33069/62/4#L083397,储存条件:-20 ℃)
- 无水乙醇(生产商:国药沪试)
- 去离子水(生产商:麦克林)
- 氯化钠(生产商:国药沪试)
- 1 mM 11-MUA乙醇溶液配制(见溶液配方)
- 1 mM 11-MUD乙醇溶液配制(见溶液配方)
- 100 mM NHS溶液配制(见溶液配方)
- 400 mM EDC溶液配制(见溶液配方)
- 35 μg/mL PLL溶液配制(见溶液配方)
- 0.9%氯化钠溶液配制(见溶液配方)
- 500 μg/mL顺铂原溶液配制(见溶液配方)
- 500 μg/mL紫杉醇原溶液配制(见溶液配方)
- 5 mg/mL庆大霉素储存液(见溶液配方)
- 细胞培养液配制(见溶液配方)
仪器设备
- 超声清洗仪(洁盟,型号JP-010T,功率60w)
- 离心机(Thermo Fisher Scientific Inc.,mySPIN 6)
- CO2培养箱(Thermo Fisher Scientific Inc.,Midi 40)
- 氮气瓶(Air Liquide,纯度:99.9%,8L)
- 二氧化碳气瓶(Air Liquide,纯度:5.0%,4L)
- SPR细胞传感芯片(清华大学精密仪器系自研)
- SPRcellyzer仪器(清华大学精密仪器系自研)
实验步骤
一、实验方法建立
- 实验目的
为实现化疗方案针对性制定,寻找期望伤害最小和疗效最优的化疗药物和剂量,直接检测细胞受到药物刺激后的响应是药物敏感性测试的一种可能方法。本实验利用癌细胞实时动态检测的SPR成像方法及SPRcellyzer仪器,测试不同抗癌药物以及不同剂量刺激引起的细胞响应,选出剂量较小且效果好的方案。在此基础上,制定化疗方案,实施治疗。 - SPR检测方法的基本原理
金属表面存在大量自由运动的电子,特定条件下,入射电磁波与金属表面的自由电子发生耦合而产生共振,自由电子发生周期性振荡,这种现象被称为表面等离子体共振(简称SPR)。发生SPR的必要条件是入射电磁波与表面等离体波(简称SPW)的波矢匹配,为实现入射光与SPW波矢匹配,采用棱镜、金膜、待测介质的三层Kretschmann棱镜耦合结构。当棱镜与金膜的参数固定时,SPR现象仅与待测介质的折射率相关,因此检测SPR反射光强或在面阵光电探测器件上的相位干涉成像,即可获得具有空间分辨率的待测介质折射率空间分布 [1–4]。
根据SPRcellyzer仪器匹配的光源及棱镜传感芯片设计,SPW波纵向穿透深度约为200 nm,即SPR纵向检测范围为约200 nm。 - SPRcellyzer仪器基本结构与组成
SPRcellyzer采用双分差动干涉成像系统,其原理图如图1所示,激光器发出波长为635 nm的光,经准直、起偏和扩束后,射入传感棱镜,并在细胞传感芯片的金膜表面激发SPR。利用1/2波片和偏振分束棱镜,将反射光分成两束偏振方向正交且相位差为180°的干涉光,分别成像在2片CCD上。实时处理两幅干涉图像,即可解算得到包含细胞贴壁面积信息的SPR信号。基于差分原理,该系统能够很好地抑制光源波动和外界干扰对检测的影响,能够保持长时间的检测稳定性。
图1 光路系统示意图
图2为SPRcellyzer的外观及功能分区图,温控面板及温控器用于控制细胞培养模块中的温度,以保持适宜细胞生长的37 ℃,液路控制部分用于实现培养液的持续供给及代谢废物的转运,紫外消毒区域实现培养液及废液存储区域的无菌消毒,避免细胞在长期培养过程中出现细菌污染而影响实验结果。
图2 SPRcellyzer仪器分区示意图
表1 SPRcellyzer仪器常用参数设置
| SPRcellyzer仪器常用参数设置 |
| 温控模块温度设置 | 37 ℃ |
| 液路控制面板流速设置 | 10 μL/min(培养阶段) 0(接种阶段) |
| 图像采集频率 | 3帧/s |
- SPRcellyzer专用芯片简介
细胞传感芯片由棱镜经过镀膜与光学表面加工而成,如图3所示:传感芯片与仪器的光路相匹配,实验前需要进行金膜表面的预处理,以实现更好的实验效果,具体操作见第二章第2节;
图3 细胞传感芯片
- SPR细胞检测方法
- 细胞的折射率模型
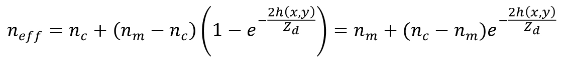
尽管细胞内部折射率分布不均,但由于SPRcellyzer传感的是群体细胞的平均响应,且只能传感细胞底部很小一部分,因此,可近似认为SPR传感区域内包含的细胞内液、细胞外液折射率分布均匀[5–8],基于此建立细胞等效折射率模型:沿金膜表面法向,将SPR传感区域划分成无数个底面积σ极小的长方体单元,如图4所示:
图4 SPR传感细胞的物理模型建立
对于每个长方体单元,同一高度的折射率近似相等,计算每个长方体单元的等效折射率:

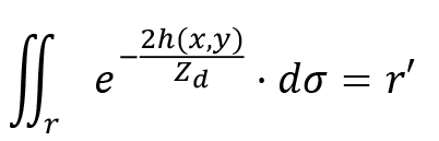
其中,nc和nm分别为细胞内液、细胞外液的折射率;h(x,y)为细胞膜距离金膜表面的高度,Zd为SPW波的穿透深度。对传感面积内的所有极小长方体进行面积分,得到:
其中,D为传感面积,N为面积内的细胞数量,r为单个细胞的平均贴壁面积,对h(x,y)有

使得

因此可以将不规则贴壁形状的细胞视为长方体,长方体的底面积为细胞与金膜贴壁的等效底面积r’,简化后的折射率等效模型如图5所示[11–13]。
通过对细胞折射率模型的建立与简化,最终将不规则实际细胞建模为规则的细胞等效折射率模型,从而建立起细胞的贴壁状态、等效贴壁面积变化与等效折射率变化之间的关系。由于SPR检测机理是对敏感范围内的等效折射率变化产生响应,因而对细胞折射率模型的建立和简化最终使得SPR能够通过对等效折射率的测量来观测和评估细胞等效贴壁面积的变化;
图5 SPR传感细胞的折射率等效模型
- SPR测量细胞药物刺激方法
由细胞折射率模型可知,贴壁细胞等效贴壁面积的变化是等效折射率变化的主要原因,而细胞增殖或死亡导致的细胞数量变化以及细胞贴壁状态的变化,均会改变细胞的等效贴壁面积 [9–10],进而导致等效折射率变化,因此可以通过SPR信号波动计算得到的等效折射率变化反映细胞等效贴壁面积,从而可以精准地观测细胞正常贴壁、增殖或因药物刺激导致的死亡等现象。
二、实验前的准备
- 试剂溶液准备
实验操作中需要一系列试剂溶液,部分溶液需要提前配制以便使用,具体操作见溶液配方一节,溶液清单如下:
芯片处理环节需要用到的试剂溶液:1 mM 11-MUA乙醇溶液、1 mM 11-MUD乙醇溶液、100 mM NHS溶液、400 mM EDC溶液、35 μg/mL PLL溶液;
细胞实验需要用到的试剂:质量分数0.9%氯化钠溶液、500 μg/mL 顺铂原溶液、500 μg/mL 紫杉醇原溶液、5mg/mL 庆大霉素溶液。 - 芯片处理
- 为促进细胞在金膜表面贴附生长,利用PLL修饰金膜表面,具体操作步骤如下:用无水乙醇清洗传感棱镜的金膜面,并用氮气吹干;需沿同一方向进行氮气吹扫,避免留下水渍;
图6 氮气吹干芯片表面
- 用去离子水清洗传感棱镜的金膜面,并用氮气吹干;
- 取5 mL配制的1 mM 11-MUA乙醇溶液与15 mL配制的1 mM 11-MUD乙醇溶液混合,将棱镜浸泡在混合溶液中24小时,在金膜表面形成羟基(-COOH)偶联层,完成后用氮气吹干棱镜;烧杯杯口需要利用封口膜密闭,避免溶液挥发;
- 取1 mL配制的100 mM NHS溶液与1 mL配制的400 mM EDC溶液混合,利用移液枪取出少量混合液(约0.5 mL),小心滴在金膜表面,保证覆盖金膜,在湿盒中保存30分钟,以活化偶联层的羟基,完成后用氮气吹干棱镜;
图7 溶液覆盖金膜表面以活化羟基
- 取0.2 mL配制的350 μg/mL PLL溶液,用去离子水10倍稀释后,利用移液枪取出少量混合液(约0.5 mL),小心滴在金膜表面,保证覆盖金膜,在湿盒中保存4小时,使金膜表面形成一层带正电的基团,促进细胞在金膜表面贴附,完成后用氮气吹干棱镜;
- 用去离子水清洗传感棱镜,氮气吹干,确保金膜上无水渍,再用无尘纸小心擦拭未镀膜的光学平面,保证光学平面无水渍,完成芯片的预处理步骤,保留在超净台上备用。
- 系统灭菌
- 进出样管路灭菌:以200 μL/min 的流量进样,先后注入75%(v/v)酒精和PBS溶液,各持续15分钟,完成进出样管路的灭菌;
- 培养液瓶及废液瓶灭菌:先后以75%(v/v)酒精和PBS溶液冲洗培养液瓶及废液瓶,完成培养液瓶及废液瓶的灭菌;
- PMMA保温模块及PDMS两室细胞培养单元灭菌:PMMA保温模块是内部嵌有温控加热装置的透明模块,是仪器中实现细胞培养区域温控的重要组成部分;PDMS两室细胞培养室提供了腔体环境,用于提供细胞生长的培养液环境、药物递送以及约束细胞贴金膜生长,在细胞培养与检测过程中会,PMMA保温模块、PDMS两室细胞培养室均直接与细胞培养液接触,需要严格消毒。将PMMA保温模块及PDMS两室细胞培养单元放入超净台中,用紫外消毒灯照射15分钟,完成灭菌;
- 细胞培养模块的其他连接件采用75%(v/v)酒精与去离子水擦拭,完成消毒。
- 细胞悬液制备
- 将人子宫颈癌HeLa细胞接种在培养皿中,在5% CO2培养箱中恒温37 ℃培养;操作使用需在无菌环境进行,使用的DMEM完全培养基、PBS或0.9%氯化钠盐溶液及0.25%胰蛋白酶均需要提前30 min左右放置在固定温度在37℃的水浴加热锅中,预热至37℃;
- 当细胞融合度达到50~70%时,小心滴加少量平衡盐溶液(可使用0.9%氯化钠溶液或PBS溶液,每10 cm2培养皿加入大约2 mL)轻轻冲洗细胞,并从培养容器中小心吸出清洗液,并丢弃;
- 加入少量0.25%胰蛋白酶(每10 cm2培养皿加入大约0.5 mL)消化细胞,轻轻晃动,使蛋白酶完全覆盖细胞层,室温放置2分钟,或于37 ℃细胞培养箱静置1分钟后,轻轻晃动培养皿,进行细胞吹打;
- 观察到细胞脱离培养皿底部,加入完全培养基,终止消化过程;
- 混匀细胞,在离心机中以300× g离心3~5分钟,弃上清;
- 加入完全培养基,混匀细胞,于细胞计数板(血球计数器)进行细胞计数,根据细胞浓度补充合适体积的培养基,稀释成5 × 104 cells/mL的细胞悬液,取1 mL存于注射器中备用,其余细胞放回细胞培养箱中保存。
三、系统组装与调节 - 细胞培养模块组装与安装:
- 取消毒过的PMMA保温模块、PDMS两室细胞培养单元、处理过的棱镜芯片、连接件等于超净台上,按照图8所示方式组装成一体;
图8 细胞检测模块组装局部示意图
- 取55 mL已加入抗生素的细胞培养液,利用孔径为0.22 μm的无菌微孔过滤器过滤后注入培养液瓶中,取消毒过的管路及其接头、废液瓶、过滤器等,与注有无菌培养液的培养液瓶按照图9所示连接方式组装成一体;
图9 细胞培养模块组装示意图
- 将组装完成的细胞培养模块安装在SPRcellyzer观测窗口中,连接培养液二氧化碳通气管路、蠕动泵软管及传感器电气连接接插件。
- 仪器系统调节
- 仪器设置:开启仪器箱总电源,确认激光器开启,预热激光器30分钟;设置温控器保持温度37 ℃;设置图像采集程序,确认图像采集帧率,数据采集总时间覆盖实验预计时间;打开二氧化碳气瓶阀门,小心调节流量控制阀门,观察培养液瓶中气管的气体输入情况,调节至约每秒1个气泡;
- 光路调节:开启蠕动泵,以10 μL/min连续更新培养液,调节细胞模块固定旋钮及入射角调节旋钮,观察SPR图像采集窗口及SPR曲线,确保两幅图像观测核心区域灰度相近,视野中没有气泡,SPR曲线接近零点;
- 基线测量:开启SPR采集功能,以10 μL/min连续更新培养液30分钟,记录芯片-培养液体系数据基线。
四、实时原位细胞培养与药物刺激检测
- 细胞培养与检测
- 细胞接种:轻轻吹打注射器内的细胞悬液,尽量使细胞分散,随后利用注射器以约0.5~1 mL/min的速度将细胞悬液由细胞注射口注入细胞培养单元;
图10 细胞悬液注射示意图
- 观察SPRcellyzer仪器SPR曲线,细胞接种一段时间后,曲线数值迅速变大,即为细胞实现了贴壁,当细胞出现芯片表面贴壁现象2小时后,以10 μL/min连续更新培养液,持续6小时,等待细胞充分贴壁。
- 药物添加与检测
- 在细胞进入对数生长期之前,进行加药操作,具体为:关闭培养液更新蠕动泵,向原培养液加入配制好的药物,并左右轻轻摇匀,重新开启蠕动泵,持续通入含药物的培养液40小时(以1 μg/mL紫杉醇为例,用注射器抽取0.1 mL配制好的紫杉醇原溶液,将无菌注射器针头扎入培养液二氧化碳入口的硅胶管,将药物注入培养液瓶并摇匀,药物注射方式如图11所示);
图11 药物注射方式示意图
- 实时记录整个过程的SPR信号,直到本次实验结束。
- 至此,完成了一种浓度的药物刺激检测。终止SPRcellyzer的数据采集,终止培养液更新等细胞培养设置,取出细胞检测模块等细胞及培养液相关的仪器组件,完成此次实验。通过重复步骤二至步骤四,依次进行试剂溶液准备、芯片处理、灭菌、细胞悬液制备、细胞模块组装、仪器系统调节、细胞培养与检测、药物添加与检测等实验操作,完成1 μg/mL和10 μg/mL的紫杉醇与1 μg/mL和10 μg/mL的顺铂等预先设计的不同药物种类、不同浓度的药物刺激检测,并完成仅使用培养液不给药的对照实验,获得不同实验条件下细胞生长状态的SPR曲线测量。
五、数据分析与数据解析 - 数据选取与导出
SPRcellyzer存储的原始数据为图像数据集,包含差分前两块CCD传感器采集得到的图像。利用SPRcellyzer软件可以实现数据的选取与导出,软件界面如图12所示,可以进行ROI范围以及绘制步长的选取等功能。
图12 数据读取分析软件界面
由于仪器面阵CCD视野较大,覆盖PDMS细胞室中细胞生长的区域及其他无关区域,因而在数据导出时,应首先在软件中干涉图样内先选取感兴趣的细胞贴壁的芯片区域(ROI),如图13所示,ROI的选取应尽可能包含细胞生长区域,并且避免选中没有细胞生长的区域,通过软件可绘制出ROI范围内平均响应SPR信号随时间变化的曲线;典型曲线如图14所示。
图13 典型细胞检测SPR干涉图像与解算区域选取示例
图14 纯培养液细胞原位培养对照组SPR信号(原始数据)
- 数据建模与分析
与实验操作相对应,细胞在对照组(纯培养液)及药物刺激下的SPR曲线可以进行分段建模与分析。
对照组中,根据细胞活动可以分为若干阶段,如图14所示:细胞进入培养室、细胞贴壁、调整后迅速生长并最终进入稳定期,在SPR曲线上可分为贴壁期(0~2小时)、调整期(2~8小时)、生长期(8~36小时)、稳定期(36~48小时);对照组的细胞是正常生长状态的参考标准,与实验组对照可获得药物刺激对细胞贴壁生长的影响。
实验组中,由于药物种类、浓度不同,不同实验组之间、实验组与对照组之间细胞贴壁、生长及死亡引起的SPR曲线有显著区别,通过以下指标可反映药物刺激对细胞生长抑制:SPR曲线的峰值、峰值的出现时间及峰值出现后曲线下降的速度,曲线峰值越低,峰值出现得越早,曲线下降速度越快,表明细胞生长越被抑制,即药效越强,对同种细胞,不同种类的药物及浓度对细胞的刺激可以由以上指标进行量化和对比,从而比较不同种类与浓度药物的药效。添加10μg/mL顺铂的培养液刺激下HeLa细胞SPR曲线如图15所示。
图15 添加10μg/mL顺铂的培养液刺激下HeLa细胞SPR曲线
实验注意要点
- 无菌的细胞培养环境:本实验需要原位培养与观测贴壁细胞的生长及药物刺激反应,实验周期较长,细胞培养环境的无菌条件保持是实验成功的关键因素。本实验需要注射细胞、长时间动态更新培养液、通入二氧化碳气体、添加药物,整个无菌实验模块保留了较多的对外接口,有一定染菌风险。为避免出现细菌污染,应保持规范操作,灭菌操作严格进行,各管路接口保持密封,培养过程中,细胞培养液瓶与废液瓶均放置在SPRcellyzer的指定位置,使用仪器内部无菌箱中的紫外灯照射;
- 无毒的细胞培养环境:实验灭菌过程会使用无水乙醇进行管路及PMMA流道、PDMS模块的消毒,若用去离子水及PBS溶液处理后仍有残留的无水乙醇,会导致细胞的死亡;
- 没有气泡的流路:实验过程中,若流路中存在气泡,气泡可能沿着液流进入传感芯片金膜,从而影响成像质量与细胞培养成活率,在细胞模块消毒后的组装过程后,应使用PBS冲洗管路,冲出模块管路及流道中的气泡,并充分旋紧管路接口,防止漏气;
- 细胞接种的效果:良好的细胞接种效果是细胞正常生长的先决条件,接种过程的关键点包括接种密度、细胞悬液均匀程度及细胞分散情况:接种密度一般为5 × 104个/mL较为合适,能够保证在金膜表面有约200个/mm2的细胞;细胞悬液均匀程度受到细胞团聚倾向的影响,细胞悬液制备完成后,应尽快进行细胞接种操作(一般在2小时之内完成),且接种前需要进一步吹打,使团聚细胞分散。
结果与数据分析
绘制并分析不同种类及浓度化疗药物刺激HeLa细胞的数据(实验组)及使用无化疗药物的培养液(对照组)进行细胞长时间培养观测的SPR曲线,如图16所示,并绘制不同种类及浓度化疗药物刺激HeLa细胞引起的SPR曲线中曲线峰及其值出现的时间,如图17所示,进行数据分析并总结实验结论。
图16 不同药物刺激下HeLa细胞SPR曲线
图17 SPR曲线峰值及峰值出现时间
数据分析结论如下
- HeLa细胞没有受到药物刺激时,SPR曲线保持上升,表明细胞持续分裂增殖;
- 当HeLa细胞受到任何药物刺激时,SPR曲线上升一段时间后,到达峰值便开始下降,表明细胞在药物持续刺激下生长受到抑制。
- 不同药物对细胞的刺激作用不同,同一浓度下,HeLa细胞受顺铂刺激后所对应的SPR曲线在紫杉醇之下,表明其对顺铂的敏感性更强。
- 不同浓度药物对细胞的刺激作用也不同,无论药物种类,浓度越高,SPR曲线到达峰顶后下降得越快,表明细胞生长被抑制得越厉害,即药效越强。
实验结论及应用讨论如下 - HeLa细胞对顺铂与紫杉醇两种药物都具有敏感性,以上两种药物均会抑制HeLa细胞的生长繁殖,在实验所测试浓度的范围内,浓度越高的药物对癌细胞生长抑制效果越好,同一浓度下顺铂比紫杉醇药效更好;
- 可进一步测试其他浓度顺铂药物对HeLa细胞的刺激效果,绘制药物剂量-反应曲线,找到随药物浓度增加而细胞生长抑制效果不再明显增加的药物浓度,即为治疗药效最好且对人体相对伤害较小的给药方式,可以作为化疗药物种类和剂量的参考;
- 可进一步利用SPRcellyzer测试其他种类药物对对HeLa细胞生长抑制的效果,作为新药物药效测试的可能方案;
- 可进一步利用SPRcellyzer测试上述药物及浓度设置对正常细胞系的生长抑制效果,作为药物对肿瘤细胞系、正常细胞系作用的对比
溶液配方
- 1 mM 11-MUA乙醇溶液配制
取218.36 mg 11-MUA粉末溶于100 mL无水乙醇,分装在试剂瓶中,于-20 ℃保存备用,保存期限一个月,需尽快使用; - 1 mM 11-MUD乙醇溶液配制
取204.37 mg 11-MUD粉末溶于100 mL无水乙醇,分装在试剂瓶中,于2~8 ℃保存备用,需尽快使用; - 100 mM NHS溶液配制
取57.54 mg NHS溶于5 mL去离子水,可1 mL分装,于-20 ℃储存备用; - 400 mM EDC溶液配制
取383.40 mg EDC溶于5 mL去离子水,1 mL分装,于-20 ℃储存备用; - 35 μg/mL PLL溶液配制
取3.50 mg PLL溶于10 mL去离子水,制成350 μg/mL PLL溶液,于2~8 ℃保存备用,使用时再稀释10倍,需尽快使用; - 0.9%氯化钠溶液配制
取0.9 g 氯化钠溶于99.1 g去离子水,备用; - 500 μg/mL顺铂原溶液配制
取5.00 mg顺铂溶于10 mL 0.9%氯化钠溶液中,配成500 μg/mL顺铂DMEM,室温保存,现配现用,使用时通过0.22 μm过滤膜进行注射; - 500 μg/mL紫杉醇原溶液配制
取5.00mg 紫杉醇溶于10 mL 0.9%氯化钠溶液中,配成500 μg/mL紫杉醇 DMEM,室温保存,现配现用,使用时通过0.22 μm过滤膜进行注射; - 5 mg/mL庆大霉素储存液
取0.25 g庆大霉素溶于50 mL 0.9%氯化钠溶液中,分装为1 mL,于-20 ℃保存备用; - 细胞培养液配制
取54.5 mL DMEM与0.55 mL 5mg/mL 庆大霉素储存液以99:1进行混合,得到含50 μg/mL庆大霉素的细胞培养液
致谢
本系列实验及方法研究承蒙国家自然科学基金、清华大学精密测试技术及仪器国家重点实验室基金资助,特此致谢。同时,本文内容摘自作者已发表的两篇文章以及作者博士毕业论文,列表如下:
- Deng S, Yu X, Liu R, et al. A two-compartment microfluidic device for long-term live cell detection based on surface plasmon resonance. Biomicrofluidics, 2016, 10(4): 044109.
- Deng S, Yu X, Wang P. An irregular-shaped homogeneous refractive index model for interpretation of the surface plasmon resonance response from living cell attachment. Analytical Methods, 2016, 8(16): 3301–3306.
- 邓士杰. 面向癌症化疗药物敏感性测试的SPR细胞检测系统研究(2016). 清华大学
参考文献
- 赵晓君, 陈焕文. (2000) 表面等离子体子共振传感器I: 基本原理. 分析仪器, 4: 1–8.
- Homola, J. (2006). Electromagnetic Theory of Surface Plasmons. In: Homola, J. (eds) Surface Plasmon Resonance Based Sensors. Springer Series on Chemical Sensors and Biosensors, vol 4. Springer, Berlin, Heidelberg. https://doi.org/10.1007/5346_013
- Tudos, A. J. and Schasfoort, R. B. (2008). Chapter 1. Introduction to Surface Plasmon Resonance. Handbook of Surface Plasmon Resonance : 1–14. https://doi.org/10.1039/9780854042678-00001
- Huo, Z., Li, Y., Chen, B., Zhang, W., Yang, X. and Yang, X. (2023). Recent advances in surface plasmon resonance imaging and biological applications. Talanta. 255: 124213. https://doi.org/10.1016/j.talanta.2022.124213
- 王孟. 细胞光学散射特性的数值模拟(2005). 东南大学
- Beuthan, J., Minet, O., Helfmann, J., Herrig, M. and Müller, G. (1996). The spatial variation of the refractive index in biological cells. Phys Med Biol. 41(3): 369–382. https://doi.org/10.1088/0031-9155/41/3/002
- Barer, R. and Joseph, S. (1954). Refractometry of living cells part I. basic principles. J Cell Sci. : 399–423. https://doi.org/10.1242/jcs.s3-95.32.399
- Born, M. and Wolf E. (2000). Principles of optics: electromagnetic theory of propagation, interference and diffraction of light CUP Archive.
- Yanase, Y., Hiragun, T., Ishii, K., Kawaguchi, T., Yanase, T., Kawai, M., Sakamoto, K. and Hide, M. (2014). Surface Plasmon Resonance for Cell-Based Clinical Diagnosis. Sensors 14(3): 4948–4959. https://doi.org/10.3390/s140304948
- Zeidan, E., Kepley, C. L., Sayes, C. and Sandros, M. G. (2015). Surface Plasmon Resonance: a Label-Free Tool for Cellular Analysis. Nanomedicine 10(11): 1833–1846. https://doi.org/10.2217/nnm.15.31
- Deng, S., Yu, X., Liu, R., Chen, W. and Wang, P. (2016). A two-compartment microfluidic device for long-term live cell detection based on surface plasmon resonance. Biomicrofluidics. 10(4): e4960487. https://doi.org/10.1063/1.4960487
- Deng, S., Yu, X. and Wang, P. (2016). An irregular-shaped homogeneous refractive index model for interpretation of the surface plasmon resonance response from living cell attachment. Anal Methods. 8(16): 3301–3306. https://doi.org/10.1039/c6ay00524a
- 邓士杰. (2016). 面向癌症化疗药物敏感性测试的SPR细胞检测系统研究. 清华大学
Please login or register for free to view full text
View full text
Download PDF
Q&A
Copyright: © 2025 The Authors; exclusive licensee Bio-protocol LLC.
引用格式:蒲子航, 邓士杰, 罗雪怡, 王雪霖, 陈湾湾, 王鹏. (2025). 利用SPRcellyzer长时程实时无标记技术原位分析细胞药物敏感性. // Surface Plasmon Resonance (SPR) Protocol eBook.
Bio-101: e1011029. DOI:
10.21769/BioProtoc.1011029.
How to cite: Pu, Z. H., Deng, S. J., Luo, X. Y., Wang, X. L. and Wang, P. (2025). Long-term Real-time In Situ Cell Chemosensitivity Analysis with Label-free SPRcellyzer. // Surface Plasmon Resonance (SPR) Protocol eBook.
Bio-101: e1011029. DOI:
10.21769/BioProtoc.1011029.