A brief version of this protocol appeared in:
Advertisement

Navigate this Article


 

Establishment of GluT1/oligosaccharide Interaction Detection Method Based on Surface Plasmon Resonance (SPR) Sensor   

罗锦妍罗锦妍陈雍硕陈雍硕李艺芳李艺芳*  (*contributed equally to this work)
How to cite Favorites Q&A Cited by

摘要: 癌细胞生长依赖葡萄糖无氧代谢,因此具备还原性糖类跨膜转运功能的葡萄糖转运蛋白1(GluT1)在癌细胞表面伴随细胞程序性死亡-配体1(PD-L1)高表达。我们建立了一种使用表面等离子体共振(SPR)技术的GluT1/糖聚物相互作用检测方法,测定GluT1与人工合成糖聚物的亲和力,为后续实现具备靶向蛋白降解(TPD)功能的糖聚物-抗体聚合物的构建提供关键数据。与常规酶联免疫法(ELISA)和免疫共沉淀(co-IP)等其他互作技术相比,基于SPR的测试方法具有实时性、无标记的特点,实验运行时间短、样品需求量小。

关键词: GluT1, 糖聚物, 靶向蛋白降解(TPD), 表面等离子共振, S-CLASS

实验背景

在Polariton C5芯片表面,通过氨基偶联方法,固定GluT1蛋白作为配体,分别流过5种糖聚物的浓度梯度,检测GluT1/糖聚物相互作用。获取数据后,用Polariton SPR Workstation软件中的1:1 binding模型拟合得到6种糖聚物与GluT1蛋白的亲和力信息,为后续实现具备靶向蛋白降解(TPD)功能的糖聚物-抗体聚合物的构建提供关键数据。

材料与试剂

  1. GluT1蛋白及糖聚物,合成方法参见文献1。GluT1分子量40kD,Gal6、Gal4Glc2、Gal2Glc4、glc6分子量2.5kD,Glc24分子量7kD,储存在PBS缓冲液中。糖聚物化学结构式如下图1,xy表示寡糖分子个数。如Gal4Glc2,即单位聚合物内,包含4个Gal分子和2个Glc分子。5种糖聚物共有结构为FITC荧光标记。


    图1 糖聚物化学结构式

  2. Polariton C5芯片(极瞳生命,产品目录号:PR1011)
  3. 氨基偶联试剂盒(极瞳生命,产品目录号:PR3002)
  4. 缓冲液:10× HBS-T(极瞳生命,产品目录号:PR2012)
  5. 10 mM pH4.0醋酸钠缓冲液(极瞳生命,产品目录号:PR2034)
  6. 再生试剂:10 mM pH 2.5 Glycine-HCl(极瞳生命,产品目录号:PR2042)
  7. 350 μL V底96微孔板(极瞳生命,产品目录号:PR4011)
  8. 其他耗材:1.5 mL EP管,1 mL、200 μL、10 μL枪头均为Axygen公司产品。
  9. 1× HBS-T(见溶液配方)

仪器设备

  1. SPR分子互作系统(极瞳生命,仪器型号:S-CLASS)

实验步骤

一、仪器准备

  1. 开机操作
    1. 打开Polariton SPR S系列分子互作分析系统仪器和电脑的电源开关。仪器电源开关位于仪器后方左下角。双击打开Polariton SPR Workstation软件,输入用户名和密码,点击 Login,运行后软件程序会自动和主机系统建立连接,显示软件主界面。
    2. 准备运行缓冲液。采用1× HBS-T缓冲液。量取100 mL 10× HBS-T缓冲液、90 mL去离子水,混匀后放入1 L的缓冲液瓶中,将buffer进液管插入至缓冲液瓶底部。
  2. 芯片的放置
    1. Polariton SPR Workstation,依次点击System→System Setting→Change Chip。
    2. 如果已经有芯片在芯片舱内,先点击 Undock chip 按钮,芯片舱门自动打开,取出旧芯片后再进行实验。如果使用的是新芯片,选择New Chip。在Type的下拉菜单中选择对应的芯片种类,在Id中填入和芯片相关的实验信息,Lot No.中可填入芯片批号(选填)。
    3. 手持芯片(图2A),沿芯片外壳上的箭头方向,将芯片推入芯片舱底部(图2B)。向右推动手柄合上芯片舱的舱门(图2C)。


      图2 芯片的插入方法

    4. 点击Dock Chip 按钮,芯片置入后系统将自动转入待机(Standby)状态。
    5. 点击软件主界面第一列System Setting 中 Change solutions 按钮,点击Ready to start。缓冲液会以较高的流速冲洗整个内部的流路系统,为后续实验做好准备。整个过程耗时约10分钟。结束后,系统自动转入待机(Standby)状态(图3)。


      图3 change solution界面

  3. 微孔板的放置
    1. 微孔板需要加装在指定的样品托盘上使用,按箭头方向旋转固定手柄,放入孔板后反向锁紧(图4)。


      图4 微孔板的加装方法

    2. 点击软件右下角 ,样品舱舱门会自动打开。
    3. 按住样品托盘上方的金属按键(见下图箭头所指),样品盘将解除锁定并弹出,向外即可轻轻抽出样品盘。将样品盘沿着卡槽轻轻推入样品舱,听到“咔”声且金属按键向上弹起,表明样品盘已处于正确位置并锁定(图5)。点击弹窗的close door,被自动送入样品舱,舱门也会自动合上。


      图5 样品托盘

二、配体偶联
  1. 偶联缓冲液:本实验选用的是1× HBS-T。
  2. 偶联量预估
    预实验证明,GluT1氨基偶联后活性比例低于30%,且Western Blot和流式实验证明,GluT1与糖聚物的亲和力在μM水平。综合考虑测试准确度、蛋白活性、数据质量后,本实验GluT1应尽量以高密度水平固定(>8,000RU)。
  3. 配体预富集
    GluT1用10 mM醋酸钠(pH 5.5,5.0, 4.5, 4.0)分别稀释到10、50 μg/mL,检测不同浓度下的静电吸附情况,为后续偶联条件的确定摸索条件。在Polariton SPR Workstation中,依次点击Auto Experiment→Surface preparation→pH scouting。令ch1-ch4、ch5-ch8分别运行4个pH条件下的50 μg/mL、10 μg/mL的GluT1的预富集实验。
    通过预富集实验(图6)10 μg/mL由于浓度过低,预富集量不满足实验需要。50 μg/mL pH 4.0预富集量约12,000RU,可作为最佳偶联条件,进行后续氨基偶联操作。


    图6 GluT1预富集量

  4. 配体氨基偶联
    1. Polariton SPR Workstation 内,依次点击Auto Experiment→ Surface preparation → Immobilization Ligand(图7),双击或点击上方next 按钮。在弹出的窗口中,填写实验名称、操作者信息,点击右上角


      图7 氨基偶联方法调用

    2. 右键单击cycle下的色块,选择Edit Solution,在弹窗内设置inject参数(图8)。
      为Activator和Deactivator设置一样的参数:injection mode选择Normal,flow cell选择AB,设定flow rate 10 μL/min,contact time 420s。
      设置Ligand参数:flow rate 10 μL/min,contact time 420s,flow path B。
      注:配体仅需固定在实验通道(flow path B)。参比通道(flow path A)同步进行活化、封闭步骤。


      图8 氨基偶联参数设置界面

    3. 准备样品。鼠标点击上方的check步骤,系统会自动排好样品的放置位置(可通过鼠标右键拖拽重新安排)。按照屏幕显示,准备足够体积的样品(如图9,左侧孔板raw1每孔溶液至少应为115 μL)。将 96 孔板放置在样品盘的指定位置上并锁定,将样品盘送回样品舱,点击close door将自动合上舱门。


      图9 氨基偶联溶液排布界面

    4. 鼠标点击上方的 ,确认运行缓冲液大于系统的最低要求,点击Start。系统将正式运行偶联程序,整个过程耗时约31 min,GluT1偶联量约10,000RU(图10)。


      图10 GluT1偶联传感图

三、样品检测过程
  1. 在Polariton SPR Workstation内依次点击Auto Experiment → Kinetics/Affinity → Multi-cycle Kinetics/Affinity。填写实验名称、操作者信息,Conc. Unit选择μM,点击右上角
    注:Conc. Unit为Analyte的摩尔浓度。
  2. 左键拖拽到分析cycle下,在弹窗内设置inject参数(图11),injection mode选择High,flow cell选择AB,设定flow rate 30 μL/min,contact time 60 s,Dissociation 240 s。
    勾选Name右侧方框(不同通道运行不同样品),依次填写5种糖聚物名称。勾选Conc.右侧方框(不同cycle运行不同浓度)。稀释比例Dilution填2,右侧表格内填写样品最高摩尔浓度后,向左拖动选择计算区域,单击 ,系统将自动计算和填写完整浓度梯度6.25–400 μM。可在样品浓度梯度前设置1–3个0浓度,作为Blank。


    图11 Analyte参数的设置

  3. 鼠标点击上方的check步骤,系统会自动排好样品的放置位置(可通过鼠标右键拖拽重新安排)。按照屏幕显示,糖聚物样品用运行缓冲液HBS-T进行倍比稀释,准备足够体积的样品。将 96 孔板放置在样品盘的指定位置上并锁定,将样品盘送回样品舱,点击close door将自动合上舱门(图12)。


    图12 分析cycle溶液排布界面

  4. 点击上方的Data步骤,确认运行缓冲液大于系统的最低要求,点击Start。系统将正式运行动力学分析程序,整个过程耗时约1 h 9min。(图13)。


    图13 实验开始界面

四、数据分析
  1. 在Polariton SPR Workstation中,点击Evaluation进入数据分析模块,点create new evaluation找到文件,双击打开。
  2. 软件界面默认显示已经扣减过0浓度的所有样品的sensorgram,可在这个界面完成数据的基本检查。在Thumbnail区域可选择待分析的样品数据,如果哪个浓度的样品检测结果不合适,可以在下方Sample Table中将此浓度前的对号勾掉,以删除异常浓度(图14)。


    图14 数据拟合处理界面

  3. 在页面左侧Kinetic/Affinity mode中,选择kinetic。可以在cut range中裁切掉进样前后的尖刺。Fit models选择1:1 binding。点击Fit,即可完成拟合。
    单击 可导出png格式的sensorgram。
    单击 可导出原始数据、拟合数据的csv文件。

五、数据解析


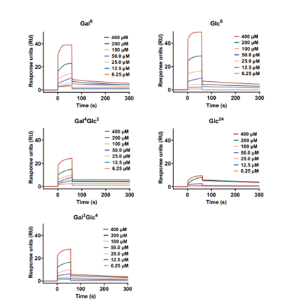
5种糖聚物对GluT1的SPR传感图如图15, binding拟合,测得亲和力高低依次为Gal4Glc2>Gal6>Glc6>Glc24>Gal2Glc4(表1),这与细胞实验结果一致,为后续糖聚物-抗体聚合物的构建提供关键数据。

表1 SPR法测定糖聚物与GluT1的结合动力学参数

Group ka (M-1s-1) kd (s-1) KD (μM)
Gal6 to GluT1 468.22.14E-034.571
Gal4Glc2 to GluT1 124.72.531E-042.029
Gal2Glc4 to GluT1 178.43.171E-0317.77
Glc6 to GluT1 263.31.825E-036.931
Glc24 to GluT1 155.31.622E-0310.44


图15 糖聚物与GluT1相互作用的SPR传感图

实验注意要点

  1. 糖聚物母液具有一定黏度,SPR上机测试前需要注意通过多次吹打,提高溶液(特别是低浓度)的均匀性,避免进样后产生聚集、吸附等异常信号。

溶液配方

  1. 1× HBS-T
    量取100 mL 10× HBS-T(100 mM HEPES,150 mM NaCl,0.5% v/v Tween 20)加入900 mL 去离子水配制1× HBS-T溶液

致谢

感谢中国科学院深圳先进技术研究院医药所耿晋团队在测试样品制备、研究成果整理撰写方面提供的技术支持和帮助。使用本实验方案的研究成果“Lysosome Targeting Chimaeras for GluT1-Facilitated Targeted Protein Degradation”已发表在Journal of the American Chemical Society。

参考文献

  1. Whang, C., Hong, J., Kim, D., Ryu, H., Jung, W., Son, Y., Keum, H., Kim, J., Shin, H., Moon, E., et al. (2022). Systematic Screening and Therapeutic Evaluation of Glyconanoparticles with Differential Cancer Affinities for Targeted Cancer Therapy (Adv. Mater. 30/2022). Adv Mater. 34(30): e202270223. https://doi.org/10.1002/adma.202270223
  2. Luo, J., Gao, Q., Tan, K., Zhang, S., Shi, W., Luo, L., Li, Z., Khedr, G. E., Chen, J., Xu, Y., et al. (2024). Lysosome Targeting Chimaeras for Glut1-Facilitated Targeted Protein Degradation. J Am Chem Soc. 146(26): 17728–17737. https://doi.org/10.1021/jacs.4c02463
  3. Medina, R. A. and Owen, G. I. (2002). Glucose transporters: expression, regulation and cancer. Biol Res. 35(1): e4067/s0716–97602002000100004. https://doi.org/10.4067/s0716-97602002000100004
Please login or register for free to view full text
Copyright: © 2025 The Authors; exclusive licensee Bio-protocol LLC.
引用格式:罗锦妍, 陈雍硕, 李艺芳. (2025). 基于表面等离子体共振(SPR)传感器的GluT1/糖聚物相互作用检测方法的建立. // Surface Plasmon Resonance (SPR) Protocol eBook. Bio-101: e1011024. DOI: 10.21769/BioProtoc.1011024.
How to cite: Luo, J. Y., Chen, Y. S. and Li, Y. F. (2025). Establishment of GluT1/oligosaccharide Interaction Detection Method Based on Surface Plasmon Resonance (SPR) Sensor. // Surface Plasmon Resonance (SPR) Protocol eBook. Bio-101: e1011024. DOI: 10.21769/BioProtoc.1011024.
Q&A

If you have any questions/comments about this protocol, you are highly recommended to post here. We will invite the authors of this protocol as well as some of its users to address your questions/comments. To make it easier for them to help you, you are encouraged to post your data including images for the troubleshooting.

If you have any questions/comments about this protocol, you are highly recommended to post here. We will invite the authors of this protocol as well as some of its users to address your questions/comments. To make it easier for them to help you, you are encouraged to post your data including images for the troubleshooting.

We use cookies to improve your user experience on this site. By using our website, you agree to the storage of cookies on your computer.